Applicative Programming


Touretzky Reading: Chapter 7

Touretzky Exercises: 7.2, 7.4, 7.7, 7.14, 7.16, 7.18, 7.27


Administrivia

Applicative Programming

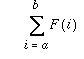
Say you wanted to compute the following:

You'd probably code it up like this:

(defun sum (a b) (cond ((> a b) 0) (t (+ a (sum (+ a 1) b))))) But, now say you want to code up this sum:

You'd probably want to do something like this:

(defun sum-sq (a b) (cond ((> a b) 0) (t (+ (* a a) <--- crucial line (sum-sq (+ a 1) b))))) There is a similarity here... all you have to do is change the crucial line to get different summations. What you really want is to generate a function which can represent a class of functions like this:

The way to this is to use the FUNCALL function which calls the function that is its first argument with the parameters that are all the rest of its arguments. So here is how to code the summation above:

(defun sum-whatever (a b f) (cond ((> a b) 0) (t (+ (funcall f a) (sum-whatever (+ 1 a) b f))))) Note that sum-whatever defines a class of functions, not just one functions.

To assign a function to a variable (parameter) you need the function FUNCTION or its abbreviation #'. For now, you should think of this as extracting the value associated with a function's name. E.g:

(function car) #<Compiled-Function CAR 502DDE> Thus to call our summation function we would use: > (sum-whatever 1 100 #'sqrt) 671.4629471031477 This computes the sum of the first 100 square roots.

Note that the FUNCTION function does not only extract the code associated with a function but also some environment. This is known as a "lexical closure" and will be discussed in detail later.

MAPCAR

MAPCAR is your friend. MAPCAR is an apllicative operator which maps a function of your chosing over a set of data of your chosing. Consider: > (mapcar #'sqrt '(1 4 9 25)) (1.0 2.0 3.0 5.0) This applies the function that is its first argument to all the data provided in the second argument. It produces an element in the output for each element of the input, and these are in the same order. Similarly you can use it to do list manipulation: > (mapcar #'first '((a b) (c d) (e f))) (A C E) It will also work for multi-inputted functions if you give it a sufficient number of inputs. For a two input function, it needs two lists of data. E.g.: > (mapcar #'- '(1 2 3) '(4 5 6)) (-3 -3 -3) If the lists are different lengths, it stops when the shortest list is exhausted.

Anonymous Functions

The "function" LAMBDA creates anonymous functions. Consider this: > #'(lambda (n) (* n n)) #<Interpreted-Function (LAMBDA (N) (* N N)) 9E1936> Note that you can not just "call" LAMBDA: > (lambda (n) (* n n)) >>Error: The function LAMBDA is undefined This can be be used to convert a two input function into a one input function or vice versa.

Note that the evaluation of a lamba expression is a lexical closure.

Example Applicative Operators

> (find-if #'(lambda (x) (= 0 x)) '( 1 2 3 2 0)) 0 > (remove-if #'(lambda (x) (= 0 x)) '( 1 2 3 2 0)) (1 2 3 2)

Keyword Operators

Good discussion in 6.14 in Turetzky. Keywords allow you to pass optional parameters to a function. They begin with : and they evaluate to themselves.

To use FIND-IF starting from the end instead of the beginning use:

> (find-if #'oddp '(2 3 4 5 6) :from-end t) 5 You can also control the predicate used for many functions. To make MEMBER work better for numbers use #'=. > (member 2.0 '( 1 2 3 4) :test #'=) (2 3 4) > (member 2.0 '(1 2 3 4)) NIL

Scoping & Lexical Closures

Consider this function: (defun my-assoc (key table) (find-if #'(lambda (entry) (equal key (first entry))) table)) What is passed to the FIND-IF is a lexical closure- not really a "function" but a "function plus environment." The closure includes all the necessary information for the function to be evaluated. Lexical closures carry their creating context with them.

Here is a good example of scoping and lexical closures:

(defun foo (bar) (grok #'(lambda (frip) (+ bar frip)) 3)) (defun grok (fn bar) (funcall fn bar)) What does (foo 6) evaluate to? It is: > (foo 6) 9 This shows the lexical scoping in Lisp. Had this been dynamically scoped (and this is possible in Lisp) you would have gotten: > (foo 6) 6 You need to always remember that lexical closures carry their lexical environment around with them. Here is an example of what could happen if you didn't: (defun bogus (x) (+ y x)) (defun bogus2 (y) (mapcar #'bogus '(1 2 3))) > (bogus2 10) >>Error: The symbol Y has no global value

Generators (Digression)

What does this function do? (defun make-tester (n) #'(lambda (x) (= x n))) It creates an equality predicate for numbers based on the value of the variable n. Here's some examples using it: > (make-tester 7) # > (find-if (make-tester 7) '(8 9 10)) NIL > (find-if (make-tester 7) '(7 8 9 10)) 7 Consider the lexical scoping issues here! When might this type of function be useful?

What does all this lexical scoping and generator stuff tell about what DEFUN does?

Apply

> (apply #'+ '(1 2)) 3 > (apply #'cons '(x nil)) (X) > This is another version of function invocation, but much more useful when you don't know the arguments you want to pass (or their number) in advance. Use APPLY when you don't know the arguments in advance, and FUNCALL when you do.

Be sure to note that the arguments to the function called by APPLY are not evaluated twice!

Reduce

Takes a two input function and a list and produces an atom that combines all the elements of the list. > (reduce #'+ '( 1 1 23 34)) 59 It can be surprisingly useful for list manipulation. Here's a really small way to do selection sort: (defun largest (input-list) (reduce #'(lambda (x y) (if (> x y) x y)) input-list)) (defun sorter (input-list) (cond ((null input-list) nil) (t (cons (largest input-list) (sorter (remove (largest input-list) input-list))))))


Back To The CS2360 Home Page
Ian Smith (iansmith@cc.gatech.edu)

Last Modified 19 Jan 95 by Ian Smith (iansmith@cc.gatech.edu)